
Home Minister Amit Shah’s Stock Portfolio Revealed- Check Full List (image source: Times Now Digital)
Union Home Minister Amit Shah and his wife, Sonal Shah, have seen their investments in the stock market surge by a substantial 67 per cent over the past five years, reaching Rs 37.4 crore as of April 15, 2024. This amounts to 57 per cent of their total assets, with the remainder diversified across various avenues such as property, savings accounts, mutual funds, gold, and schemes like the National Small Savings Scheme.
Diversification Strategy
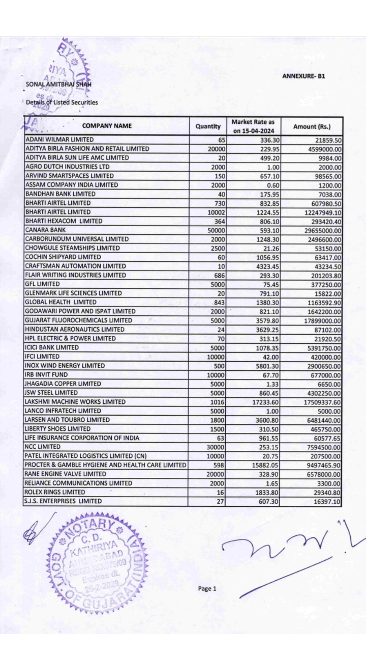
Their investment decisions reflect a diversified approach, with holdings spread across 242 companies spanning multiple sectors. However, a notable aspect is their significant investments exceeding Rs 1 crore in just 10 companies, which constitute 43 per cent of their total investments in listed companies.
Interest in Banking and FMCG Stocks
A deeper analysis reveals a penchant for banking and FMCG stocks. Notably, investments in banks such as Canara Bank and Karur Vysya Bank Limited constitute about 13 per cent of their stock market allocation. Additionally, they hold stakes in FMCG giants like Procter & Gamble Hygiene and Healthcare Limited, Hindustan Unilever Limited, and Colgate-Palmolive (India) Limited, which collectively make up nearly 12 percent of their stock investments.
Home Minister Amit Shah’s Full Stock Portfolio




Key Investments
Apart from the banking and FMCG sectors, the couple has made significant investments in companies like Gujarat Fluorochemicals Limited, Lakshmi Machine Works Limited, MRF Limited, Bharti Airtel Limited, and Sun Pharmaceutical Industries Limited, among others.
Overall Asset Growth
Over the past five years, the total assets of Amit Shah and Sonal Shah have witnessed remarkable growth, escalating from Rs 40.3 crore in 2019 to Rs 65.7 crore in 2024. While movable assets experienced an impressive 82 per cent growth, the value of immovable property saw a comparatively modest increase of 36 per cent during the same period.
Investment Plan
In comparison to his wife, Amit Shah’s movable assets recorded a growth of 11.47 per cent. Sonal Shah’s investment portfolio includes holdings in various listed entities, along with substantial ownership of gold and diamonds. On the other hand, Amit Shah’s investments span across diverse companies, including Western India Shipyard Ltd, Suzlon Energy Ltd, NMDC Steel Ltd, and others.
Amit Shah’s Wife Sonal Shah Full Stock Portfolio


Immovable Assets
Sonal Shahs’ immovable assets include agricultural and non-agricultural land, and commercial and residential properties in different locations. While the value of immovable assets owned by Amit Shah rose by about 26 percent, those owned by Sonal Shah witnessed a remarkable growth of 67 per cent during the five years.